Recent lieten we de kwaliteit van het drinkwater voor de koeien analyseren. Aanvullend willen we ook graag de drinkwatervoorziening evalueren. Wat zijn hierbij de belangrijkste aandachtspunten?
Goed en smakelijk drinkwater is, net als een goede voorziening ervan, een voorwaarde voor gezonde koeien en een optimale melkproductie. Het belang van een goede drinkwatervoorziening voor melkkoeien en jongvee wordt evenwel vaak onderschat. Als drinkwater niet smakelijk is, de kwaliteit onvoldoende of het drinkwater niet voldoende beschikbaar voor alle dieren, drinken de dieren minder dan ze nodig hebben. Door een lagere wateropname worden voedingsstoffen niet goed opgenomen en blijft ook de voeropname achter. Dit heeft een negatief effect op de melkproductie, de groei en de weerstand van de dieren.
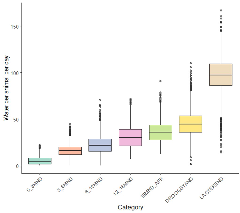
Wateropname
Runderen hebben een grote behoefte aan vocht (water). Melkkoeien in lactatie hebben dagelijks 150 – 200 liter vocht nodig, droogstaande koeien 50 – 60 liter en jongvee 25 – 40 liter. Zo’n 38% van deze behoefte halen de runderen uit het rantsoen, de resterende 62% moeten ze opdrinken. Enkele rekenregels om de drinkwaterbehoefte in te schatten maken gebruik van de DS-opname (4 liter water per kg DS-opname) of de melkproductie (4 – 5 liter water per liter melkproductie). Als de omgevingstemperatuur boven de 25 °C komt drinken koeien ook meer (+ 30 %).

Figuur 1. Gemiddeld waterverbruik (l/dier/dag, bron: Project WAVE)
Een koe in lactatie die onvoldoende drinkt zal beneden verwachtingen melk produceren. Verder kan een ondermaatse vochtopname vastgesteld worden door deze signalen:
- Lagere huid-elasticiteit
- Doffe, diepliggende ogen
- Te droge mest (ideaal is mestscore 3 of 4)
- Dof haar
- Drinkgedrag: traag en afwachtend
- Lagere ademenhalingsfrequentie
- Lagere melkproductie
Waterkwaliteit
In Tabel 1 worden de normen voor kwaliteit van drinkwater voor rundvee weergegeven. De waarden in de kolom 'goed' kunnen als veilig worden beschouwd voor de betreffende diersoort. De waarden in de kolom 'afwijkend' worden beschouwd als (ernstig) risicovol.
Tabel 1. Normen drinkwaterkwaliteit voor rundvee (bron: GD Diergezondheid)

Ook DGZ Vlaanderen hanteert een uitgebreide lijst met kwaliteitsnormen voor drinkwater voor rundvee: Normen kwaliteit drinkwater rundvee (DGZ)
Beschikbaarheid van drinkwater
Niet enkel de kwaliteit van het drinkwater is van belang, maar ook de beschikbaarheid ervan. Hebben alle runderen vlot toegang tot voldoende drinkwater? De beschikbaarheid van drinkwater wordt vooral bepaald door het aantal, de grootte, het type en de positie van de drinkpunten, alsook het debiet dat ze kunnen leveren.
Criteria voor een goede drinkwatervoorziening:
- Sneldrinkers:
- Voorzie minstens 1 sneldrinker per 10 koeien
- Een debiet van 15 – 20 liter per minuut is noodzakelijk om de drinksnelheid van koeien te kunnen volgen. Check: Een emmer van 10 l moet zeker binnen de 40 seconden vol zijn!
- Drinkbakken (vlotterbak, weidekuip):
- Voorzie minstens 10 cm drinkplaats per koe in het koppel (houd rekening met overbezetting of groei van de veestapel)
- Zorg voor een goed gevulde drinkbak: 15 – 20 cm diepte is hierbij aanbevolen.
- Voorzie minstens 2 waterpunten per groep en verder minstens 1 waterpunt per 10 – 15 volwassen dieren
- Gemolken worden maakt koeien dorstig. Voorzie dus voldoende drinkruimte en -debiet als de koeien uit de melkstand komen of zelfs in de melkstand.
- Zorg ervoor dat de drinkpunten voldoende verspreid zijn over de stal. Zo hebben ook laag hiërarchische runderen steeds toegang tot drinkwater.
- Plaats drinkpunten niet in hoeken of smalle doorgangen. Voorzie bij voorkeur minsten 3,6 m tussen het drinkpunt en de muur zodat koeien achter de drinkende koe kunnen passeren.
- Installeer de drinkbak zo dat het waterniveau voldoende hoog boven het loopniveau van de dieren komt in functie van de grootte van de dieren: kalveren (50 - 55 cm), jongvee (55 – 70 cm), koeien (65 – 85).
Goed management: Drink je zelf uit de drinkbak?
Als de kwaliteit en de beschikbaarheid van het drinkwater goed is, dient ook het management van de veehouder ervoor te zorgen dat dit ook zo blijft. Goed management, gesteund op vaste routines, helpt hierbij om euvels snel te detecteren om ze zo ook snel op te lossen.
Goed watermanagement steunt op deze routines:
- Controleer de drinkbakken dagelijks op bevuiling, bezinksel, kleur en reinig als dat nodig is
- Koeien drinken met hun geur en hun smaak. Ruik aan het water om de kwaliteit te beoordelen. Als je er zelf niet van zou drinken, je koeien wellicht ook niet!
- Laat je water analyseren (bacteriologisch en chemisch), zowel bij de bron als waar het in de drinkbak komt om ook het effect van de leidingen in beeld te krijgen.
- Zoutgehalte: max. 3.000 µg/l
- Zuurtegraad: pH 6,5 – 8,5
- Hardheid: minder problematisch
- Monitor het drinkwaterverbruik zodat je afwijkingen in opname of lekken snel kan vaststellen en ernaar handelen.
Advies en analyses:
Wateradvies nodig? Wateradvies (Inagro)
Alles over waterkwaliteit en wateranalyses: Watertool (Inagro)
Hulp nodig om de risico’s rond drinkwater op jouw bedrijf in beeld krijgen? FARM FOCUS (DGZ)
Gerelateerd
- Vraag/Antwoord: Ijzergehalte in drinkwater
- Vraag/Antwoord: Kation-Anion Verschil
- Vraag/Antwoord: Beta-caroteen en beweiding
- Vraag/Antwoord: Betacaroteen in wortelen voor droge koeien
- Vraag/Antwoord: Zwavel en pensacidose
Bronnen:
1 Voldoende drinkplaatsen en waterkwaliteit: cruciaal voor je rundvee. An Cools, Inagro, 21/03/2024.
2 Belang van drinkwaterkwaliteit. GD Diergezondheid
3 Presentatie Waterdag: Workshop: Water en melk, een soms vergeten link met grote invloed op productieresultaten en diergezondheid. Koen De Bleecker, DGZ Vlaanderen, 11/12/2025
4 Hoeveel water drinken jouw koeien? An Cools, Inagro, 20/07/2022